Customs Clearance Letter To Customs To Release Shipment
The Customs Clearance Process 1 The customs officer will look at the paperwork for your shipment All international shipments need to have a commercial invoice This document will list both the shipper and the receiver's contact information, in addition to shipment details such.
Customs clearance letter to customs to release shipment. At the customer’s request, DHL will provide the necessary paperwork to the customer’s designated broker to perform the import clearance and resume the delivery to the final destination once the clearance is completed DHL is subsequently not responsible for the timeliness of the submission to customs or for the release of the shipment. Interesting news item shared from Dubai Customs' website. Letter of Authorization I hereby entrust (name of the customs broker) to process all the relevant customs clearance procedures related to the Export/Import Declaration Form (D/F NO ) or to the Transit Application Form The entrustee is entitled to the full authority over the entrusted matters,.
Deputy Commissioner of Customs Authority Letter Format for Authorization – In order to clear customs successfully, the sample request authority letter is one of the most important you will have to prepare There are only two persons who can clear the consigned goods You or the IEC license holder (whose name appears on IEC) or the person who has the authority letter, given by IEC holder. Customs Duties and Taxes on Imports Documents required for Import Customs Clearance in UAE Customs threshold (from which tariffs are required) Shipments of goods valued under AED 1000 enter free from duty and tax Gifts carried by passengers travelling to UAE and whose value do not exceed AED 3000 are also exempt from customs duties. So, what exactly happens when your shipment arrives in customs?.
Also, smaller shipments may be exempted from the need for a formal customs clearance process For instance, if you are shipping to the United States and your goods are valued less than $800, the shipment can declare Section 321 1 to be exempted from the clearance procedure and payment of duties with some restrictions. Will need to comply with the instructions provided by the Aramex clearance team within 24. Customs clearance guidelines When sending outside of the EU, your shipment will be subject to customs clearance prior to delivery Every country has a customs agency, who are responsible for controlling goods and charging import duty and tax where applicable Here's a handy guide for all you need to know about customs.
(a) At election of importer of record At the election of the importer of record, Customs may process a split shipment, pursuant to section 484(j)(2), Tariff Act of 1930 (19 USC 1484(j)(2)), under a single entry, as prescribed under the procedures set forth in this section (b) Split shipment defined A “split shipment”, for purposes of this section, means a shipment. For a smooth custom clearance, it is important that you send on time the authority letter to the custom commissioner, in case the IEC holder fails to be present for custom clearing It is a kind of power of attorney which gives someone else the authority to have your consigned goods cleared through customs for you, on your behalf. Request Letter to Customs Officer to Release of Imported Goods These are sample Request Letter to Customs Officer to Release of Imported Goods You can follow these request letter to the customs officer to release of imported goods, mobiles, containers, shipments, garments and automobiles etc You can also follow this Letter to customs to release the shipment.
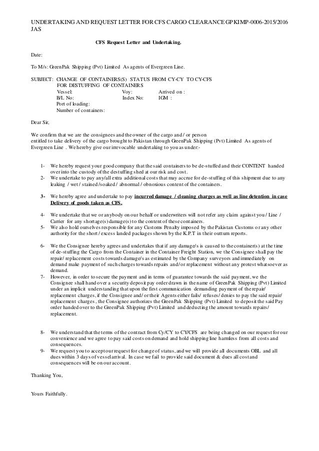
At the customer’s request, DHL will provide the necessary paperwork to the customer’s designated broker to perform the import clearance and resume the delivery to the final destination once the clearance is completed DHL is subsequently not responsible for the timeliness of the submission to customs or for the release of the shipment. UNDERTAKINGAND REQUEST LETTER FOR CFS CARGO CLEARANCE GPKIMP/16 JAS CFS Request Letter and Undertaking Date To M/s GreenPak Shipping (Pvt) Limit Slideshare uses cookies to improve functionality and performance, and to provide you with relevant advertising. Your shipment will be handed over to customs and then transported to the relevant Inland Customs Office The consignee can pick up the consignment there upon receipt of the letter of notification from Deutsche Post about the receipt of a consigned consignment Further information wwwzollde search term “postal customs clearance”’.
Interesting news item shared from Dubai Customs' website. Interesting news item shared from Dubai Customs' website. Due to the value and/or the commodity you are shipping, DHL Express is unable to act as Importer of Record and will require a Power of Attorney from you to process the Customs entry Please follow the stepbystep instructions provided to complete the DHL Express Power of Attorney form and return for shipment clearance.
Customs backlog Sometimes if customs are busy, clearance gets delayed and parcels are queued awaiting clearance When your parcel is shipped to another country, the contents of your parcel and the customs paperwork that you sent with the parcel will be checked to assess if duty or tax is payable. Interesting news item shared from Dubai Customs' website. If a whole consignment has been cleared or release granted for removal, it may be part released if required (or if necessary, for example, short shipments) Customs clearance or release of a.
US Customs and Border Protection Letter of Intent Instructions Document Posting Date August 22, 16 Last modified August 22, 16 s Trade Automated Commercial Environment (ACE) Share This Page Download Files Letter of Intent Instructions ACE Letter of Intent Instructions. Every time you ship internationally, you’ll need to take a few additional steps to prepare your shipment for the customs clearance process Customs, the government service responsible for administering international trade laws, inspects and regulates every shipment to make sure the contents comply with the importing country or territory’s regulations. In Portugal the containers are released only when the customs clearance is ok In Portugal we have a system that the ship agency/shipping line, terminal and the customs have all access If the customs clearance isn’t ready the terminal knows by checking the system and won’t release the cargo Thank you Reply.
8 Customs clearance of cargo 9 9 Smuggling and other violations and penal provisions 10 10 Appellate remedies 11 11 Passenger processing 11 12 Import /Export by post/courier 11 13 Citizen Charter 11 Chapter 2 Arrival of Conveyances and Related Procedures 1219 1 Introduction 12 2 Conveyance to call only at notified Customs ports. Put simply, a CPC code (Customs Procedure Code) is your reason for import or export, expressed as either a seven digit number or a six digit number and one letter It describes the purpose of your shipment which in turn directly determines how your shipment is processed and ultimately if, how, when and from whom duties and taxes are collected. The Customs Clearance Process 1 The customs officer will look at the paperwork for your shipment All international shipments need to have a commercial invoice This document will list both the shipper and the receiver's contact information, in addition to shipment details such as export date and airway bill number.
If a customs broker is going to perform all customs clearance and release process (customary in Colombia) a Notarized letter of authorization is required This document must be written in the consignee's letterhead and signed by the legal representative of the company authorizing the customs broker to represent consignee in all matters related to the clearance and release of the cargo. With a view to expediting the release of goods, each Member shall adopt or maintain postclearance audit to ensure compliance with customs and other related laws and regulations 2 Each Member shall select a person or a consignment for postclearance audit in a riskbased manner, which may include appropriate selectivity criteria. Shipments containing books for personal use are no longer customs duty exempted Ecommerce shipments purchased by importers will not be duty exempted regardless of value Imported goods valued above 100,000 INR or require formal clearance (Bill of Entry) ;.
If a Letter of Credit is issued, the importer submits a copy of the same at the time of customs clearance Get a FREE legal advice Insurance Certificate This certificate helps the customs offer to asses the value of goods at the time of customs clearance It is compared against the delivery terms issued by the importer to verify if the sale. Due to the value and/or the commodity you are shipping, DHL Express is unable to act as Importer of Record and will require a Power of Attorney from you to process the Customs entry Please follow the stepbystep instructions provided to complete the DHL Express Power of Attorney form and return for shipment clearance. 1107 Documents to be Submitted for Import Clearance (FAQ) Japan Customs For printing (PDF format) Import declaration must be made by lodging an import (customs duty payment) declaration form describing necessary particulars to the DirectorGeneral of Customs.
The shipment is cleared through customs based on the origin country, the value and quantity, but not its purpose You will need to pay customs duty and taxes only if the value of the gift is above a stated local threshold Every country has limitations for imported goods that are used for personal use. The HCG Release Process is applicable to all modes for qualifying shipments and may be used as an alternative release option to submitting a paper Form 3 Canada Customs Coding Form In bond shipments are not eligible for the HCG Release Process Qualifying Shipments Authorized to use the HCG Release Process. Bill of Lading/AWB/Truck Receipt/Railway Receipt;.
Step 3 File an Entry Entry must be filed in the Customhouse within 30 days from the date of discharge of the last package from the vessel, which shall not be extendible Failure to file the entry constitutes implied abandonment and will result in the ‘ipso facto’ forfeiture of the goods/shipment You or your customs broker may have the software to file Bill of Entry at office or home. Airport Customs, within India Dear Sirs, Subject Authorization to clear the shipments In terms of applicable provisions of the Customs Act 1962, and rules and regulations framed under the said act including but not limited to the Courier Imports and Exports (Clearance Regulations) 1998 and the Bill of Entry. In Malaysia, shipment will only be cleared and released once all payment of duties and taxes have been paid A shipment may be released by Customs before shipment arrival Otherwise, if there are any issues with the shipment and documentation, shipment release may take 24 till 48 hours after shipment arrival.
Doha Customs for clearance of air freight shipment s 1 Commercial Invoice issued by the actual shipper exporting the commodity to Qatar The invoice should be duly stamped and signed The invoice should state HS code, unit price, total value of goods with currency and country of origin against all the commodities. Letter to Customs to Release Goods We have received the documents of above consignment duly endorsed in our favour and we will clear the goods through our clearing agent and pay Import Duty, Dock Charges and all other clearing charges which may please be noted For ROCKET SALES LTD. Shipments containing books for personal use are no longer customs duty exempted Ecommerce shipments purchased by importers will not be duty exempted regardless of value Imported goods valued above 100,000 INR or require formal clearance (Bill of Entry) ;.
I request you to give me clearance and release the goods as soon as possible (describe your requirements) I am waiting for a positive response Regards, Your name Company/Institute name Office Address Contact Information. Customs Duties and Taxes on Imports Documents required for Import Customs Clearance in UAE Customs threshold (from which tariffs are required) Shipments of goods valued under AED 1000 enter free from duty and tax Gifts carried by passengers travelling to UAE and whose value do not exceed AED 3000 are also exempt from customs duties. CUSTOMER MUST BE PRESENT FOR CUSTOMS CLEARANCE Shipment must not arrive before visa is approved Shipment must arrive within 60 days before or after customer's arrival All shipments are subject to 100% inspection upon arrival.
Rather, you will be asked instead to pay customs duties, taxes and other import charges related to customs clearance in your home country, as per local regulations Whether a shipment is a gift or not, it must still go through an import procedure as determined by custom’s law in the destination country. Customs clearance guidelines When sending outside of the EU, your shipment will be subject to customs clearance prior to delivery Every country has a customs agency, who are responsible for controlling goods and charging import duty and tax where applicable Here's a handy guide for all you need to know about customs. Letter of Authorization We, hereby, authorize Vardhman Shipping Services and its affiliates to make arrangements for custom clearance and delivery of our consigned goods We, therefore, authorize them to act as our agents and undertake all necessary steps like documentation, declaration, custom clearance, octroi clearance etc of the imported consignment as and when required.
Once the customs agents decide to release your shipment, you will have only ten days to submit the next document the customs entry form This form, CBP Form 7501 , is a much longer form that must be included with the payment to cover the duties and taxes on the import. Your shipping partner must make sure your package is compliant before it is sent A package typically has customs clearance before the transporting plane lands because of today’s technological advances Approval Process Customs retains the right to search a package even if you’ve packaged everything to standard. If a customs broker is going to perform all customs clearance and release process (customary in Colombia) a Notarized letter of authorization is required This document must be written in the consignee's letterhead and signed by the legal representative of the company authorizing the customs broker to represent consignee in all matters related.
The HCG Release Process is applicable to all modes for qualifying shipments and may be used as an alternative release option to submitting a paper Form 3 Canada Customs Coding Form In bond shipments are not eligible for the HCG Release Process Qualifying Shipments Authorized to use the HCG Release Process. Customs and Importing in the US POA In Shipping A power of attorney (POA) is a legal document used in shipping to grant a customs broker the authority to process Customs clearance on your behalf A signed POA is necessary in order to clear your goods through US Customs. Customs backlog Sometimes if customs are busy, clearance gets delayed and parcels are queued awaiting clearance When your parcel is shipped to another country, the contents of your parcel and the customs paperwork that you sent with the parcel will be checked to assess if duty or tax is payable.
UNDERTAKINGAND REQUEST LETTER FOR CFS CARGO CLEARANCE GPKIMP/16 JAS CFS Request Letter and Undertaking Date To M/s GreenPak Shipping (Pvt) Limit Slideshare uses cookies to improve functionality and performance, and to provide you with relevant advertising. Shipping Freight Forwarders Customs Clearance Glossary It is a cargo inventory control and release notification system for the use of air, ocean, and rail carriers and speeds the flow of cargo and entry processing Customs sends these shipments to a GO warehouse and may auction or destroy the goods after a specified amount of time. TO, ANCHOR SHIPPING SOLUTIONS, 54,Doroment street, J Terminal, Bangalore CC Deputy Comissioner of customs Authorization We hereby authorize Anchor shipping solutions and its affiliates (together hereinafter “anchor”, which expression shall mean and include their respective holding company, their affiliates and all their duly designated customs clearance and other agents to.
Interesting news item shared from Dubai Customs' website. Ask your Customs Broker about how you can use this to your advantage Section 321 Section 321 is a type of informal entry which allows for the release of goods valued at $ USD or less without filing a customs entry by you or your Customs Broker Shipments released under “Section 321” are both duty & tax free. For release of goods from Customs, following documents need to be submitted along with the declaration for all types of imports Letter of Credit (L/C) Invoice;.
Letter to Customs Officer to Release Goods The Director, Customs Department Respected Sir, I hope this letter finds you in great spirits We are a private limited firm and deal in the import of garments. At the customer’s request, DHL will provide the necessary paperwork to the customer’s designated broker to perform the import clearance and resume the delivery to the final destination once the clearance is completed DHL is subsequently not responsible for the timeliness of the submission to customs or for the release of the shipment. If you use a standard express shipper or the postal service they will pay the tax for you (DDU), clearing your goods through customs and charging you an administration fee For larger shipments (over $2500 in the USA), you will require a customs broker, who will arrange for the taxes to be paid and for the shipment to be released from customs.
The customs clearance process typically involves preparing documents that may be submitted electronically or physically with the consignment This helps concerned authorities to calculate taxes and duties that will be levied on the cargo The type of documents required for customs clearance usually depends on the type of goods being shipped. 1 All goods transported through TNT network, arriving at various customs airports within India 2 All our import shipments addressed to our various offices / branches within India 3 And remains valid, subsisting and continues until revoked 4 Supersedes all previous Authority Letters issued in respect of authorising TNT and its CHA’s for. Will need to comply with the instructions provided by the Aramex clearance team within 24.
Customs clearance guidelines When sending outside of the EU, your shipment will be subject to customs clearance prior to delivery Every country has a customs agency, who are responsible for controlling goods and charging import duty and tax where applicable Here's a handy guide for all you need to know about customs. Our Mission Participating in simulating the economics and enable the kingdom to be an international logistic centre by facilitating trades over the boundaries and reach expected revenue, the clients interests, save the country and the communities effectively and efficiently. Packing List “Country of Origin” Certificate (except coal and export oriented garments industries) Insurance policy/cover note.
Put simply, a CPC code (Customs Procedure Code) is your reason for import or export, expressed as either a seven digit number or a six digit number and one letter It describes the purpose of your shipment which in turn directly determines how your shipment is processed and ultimately if, how, when and from whom duties and taxes are collected.

Rwanda Trade Portal

Import Process Global Kintetsu World Express

Recommendations
Customs Clearance Letter To Customs To Release Shipment のギャラリー
3

How To Send Used Mobile To India By Usps Fedex From Usa Usa
Wsc Kenes Com Documents Wsc 16 shipping instructions updated Pdf

Operational Advantages Of Foreign Trade Zones Ftz Port Economics Management And Policy

Application Letter For Customs Broker

Customs Broker Resume Template Best Design Tips Myperfectresume

Customs Duties In International Shipping Eurosender Com

Letter Of Exemption For Customs Clearance Emcc Group Quality Certification
Http Www Wcoomd Org Media Wco Public Global Pdf Topics Facilitation Activities And Programmes Natural Disaster Covid 19 Covid 19 Categorization Of Member Input May 29 Edition 4 En Pdf La En
Q Tbn And9gcrxav5w43kkxldxdq Wvogtnvlzobp1mrwdehjm Fj4pjxbw1hi Usqp Cau

Confluence Mobile Digital Logistics Capacity Assessments
Openjicareport Jica Go Jp Pdf 05 Pdf

Bill Of Lading Vs Customs Documents

6 Undertaking And Request Letter For Cfs Cargo Clearance Gpkimp 00

An Updated Shipper S Guide For China Custom Clearance
Ec Europa Eu Taxation Customs Sites Taxation Files Covid 19 Customs Guidance For Trade Pdf

Chapter Two Final Bank And Custom Clearance Operation Hand Out
Customs Gov Ph Wp Content Uploads 06 Cao 09 Pdf

Bonded Warehousing Intertrade Dynamics
Sample Format Of Customs Clearance Authorisation Letter Authorisation Letter Pdf4pro

Procedure To Apply For Ad Code Register It With Customs Drip Capital

U S Customs And Border Protection Thanks Scarbrough

What Are The Main Causes Of Demurrage And Detention

Sample Letter To Customs To Release Goods Fill Online Printable Fillable Blank Pdffiller
Authority Letter Fedex Format
Authorization Letter

Agent Authorization Letter Sample Free Download
Sample Format Of Customs Clearance Authorisation Letter Authorisation Letter Pdf4pro

Chapter 9 Shipments Clearance Formality In Cambodia I
Confluence Mobile Digital Logistics Capacity Assessments
Authority Letter Format Freight Transport Trade
Requirements For The Shipment Of Your Pov Ramstein Air Base Display
Home Kuehne Nagel Com Documents 5454 Direct 2brepresentation Pdf

Customs Clearence Kage Logistics Ltd

Shipping From China To Germany Updated January 21 Freightos

Guidance On Customs Issues Related To The Covid 19 Emergency Taxation And Customs Union

Are Your Packages Getting Held At Customs Here Is An Easy Solution Elextensions

Confluence Mobile Digital Logistics Capacity Assessments

Customs Regulations Export And Customs Information Support Dpd

Libya Customs And Clearance Procedures May 19 Libya Reliefweb
Wsc Kenes Com Documents Wsc 16 shipping instructions updated Pdf
Value Evidence Absence Letter Doc
Q Tbn And9gcqlgl0udpzypghh7sw2phws Slb1ohjwjf9wu Dmq Aighth Y5 Usqp Cau
Dlca Logcluster Org Download Attachments 8536 Sudan customs and documentation regulations Pdf Version 1 Modificationdate Api V2

Corona And Brexit Current Information From The Carriers Letmeship

Export And Import Customs Clearance Shipping Process Powerpoint Slides Diagrams Themes For Ppt Presentations Graphic Ideas
Www Eepcindia Org Pdf Cus Cir 26 Pdf

Recommendation Letter Halliburton Customs And Transportation Services Al Nada Center For General Services

Bill Of Lading Vs Customs Documents

Customs Regulations Export And Customs Information Support Dpd
2

Customs Clearance Offer Letters

Eaglenet Outbound From Japan To Overseas Export Customs Clearance

Corona And Brexit Current Information From The Carriers Letmeship

An Overview Of Required Documentation For Lcl Shipments In Sea Freight

Photos Sample Authorization Letter Behalf For Someone Act Your Lettering Custom Childcare

Iran Customs Clearance Information For Imports Inkala International Relocation Iran

Eaglenet Outbound From Japan To Overseas Export Customs Clearance

Import Process Global Kintetsu World Express
United Kingdom S Eu Exit And The Impact On Customs Issues Wfb

Sample Cover Letter For Dhl

Shipping To China For Cross Border E Commerce A Simple Guide Walkthechat

What Is Clearance Delay And What Can You Do About It Gilbert Usa
Wsc Kenes Com Documents Wsc 16 shipping instructions updated Pdf
Www Unrwa Org Sites Default Files Annexes G Pdf
Www Eepcindia Org Pdf Cus Cir 26 Pdf

Eaglenet Inbound From Overseas To Japan Necessary Papers For Import Customs Clearance

Fob Explained In 3 Minutes Eurosender Blog

Authority Letter Format To Send To Deputy Commissioner Of Customs

Customs Inspections What You Need To Know Tbn Group

An Updated Shipper S Guide For China Custom Clearance
Openjicareport Jica Go Jp Pdf 05 Pdf

Customs Regulations For Household Goods Personal Effects

Authority Letter Format To Send To Deputy Commissioner Of Customs

China Customs Clearance Process Ciq Inspection Supervision Documentations Reqirements Of

Recommendation Letter Weatherford Customs And Transportation Services Al Nada Center For General Services
Http Www Customs Gov Lk Public Uploads Dopls Dopl500 Pdf

Demurrage Detention Charges Explained Container Xchange

Fedex Kyc Fill Online Printable Fillable Blank Pdffiller

What Does Ead Mean Customs Terms Definitions Gerlach

Iraq Standard Operating Procedures Sops Import Process Via Ibrahim Khalil June 18 Iraq Reliefweb
Requirements For The Shipment Of Your Pov Ramstein Air Base Display

Your Easy Brexit Solution Kuehne Nagel
Www Unrwa Org Sites Default Files Annexes G Pdf

Clearing And Forwarding Notes

Export Import Guidelines A Russia Dhl
Www Dhl De Content Dam Images Express Downloads Produktinformationen Import Dhl Express Agb Geld Zurueck Garantie 0619 En Pdf
Wsc Kenes Com Documents Wsc 16 shipping instructions updated Pdf
Www Unrwa Org Sites Default Files Annexes G Pdf
Wsc Kenes Com Documents Wsc 16 shipping instructions updated Pdf

Libya Customs And Clearance Procedures May 19 Libya Reliefweb
Www Unrwa Org Sites Default Files Annexes G Pdf

Recommendations

Declaration Letter For Customs Clearance India Fill Online Printable Fillable Blank Pdffiller

Delivery To The United Kingdom Packeta Deutschland

Shipping From China To Germany Updated January 21 Freightos
Www Zf Com Master Media En Corporate M Zf Com Company Download Center Company 3 Materials Global Logistics Directive Version 18 4 English Pdf
Q Tbn And9gcqlyni0zpvlrwu1y8bhcoubhdytavxgpoq1xan81gzxfdfiewpd Usqp Cau
6 Undertaking And Request Letter For Cfs Cargo Clearance Gpkimp 00

Eaglenet Inbound From Overseas To Japan Necessary Papers For Import Customs Clearance

Congo Pointe Noire



